跳至内容
玩机先森
菜单
菜单
网站介绍
隐私政策
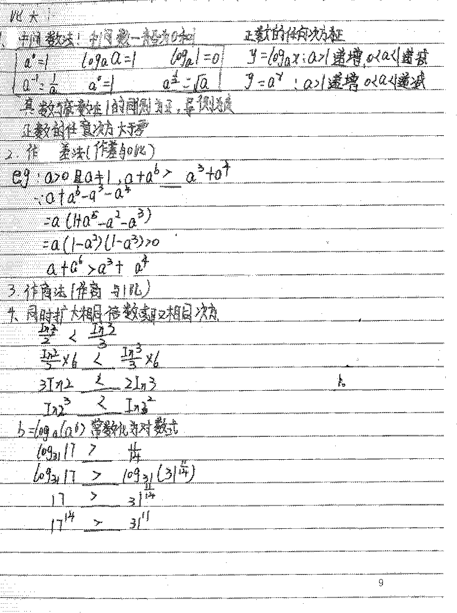
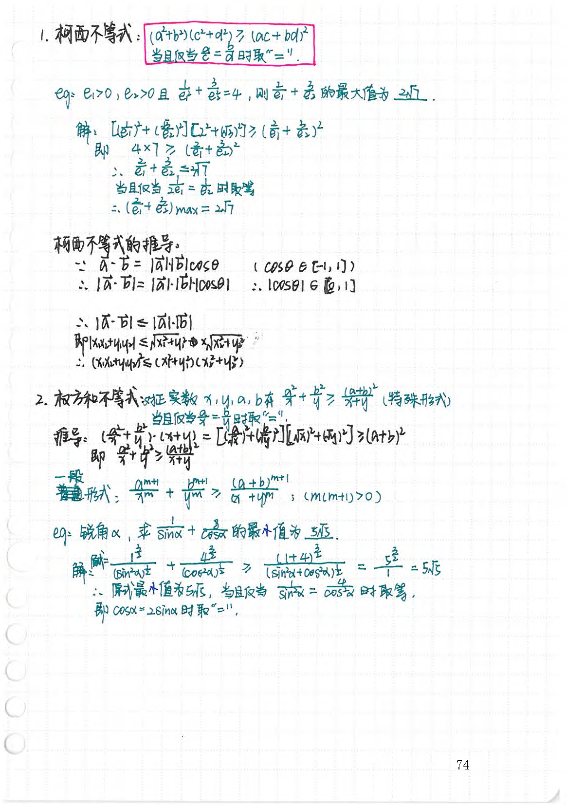
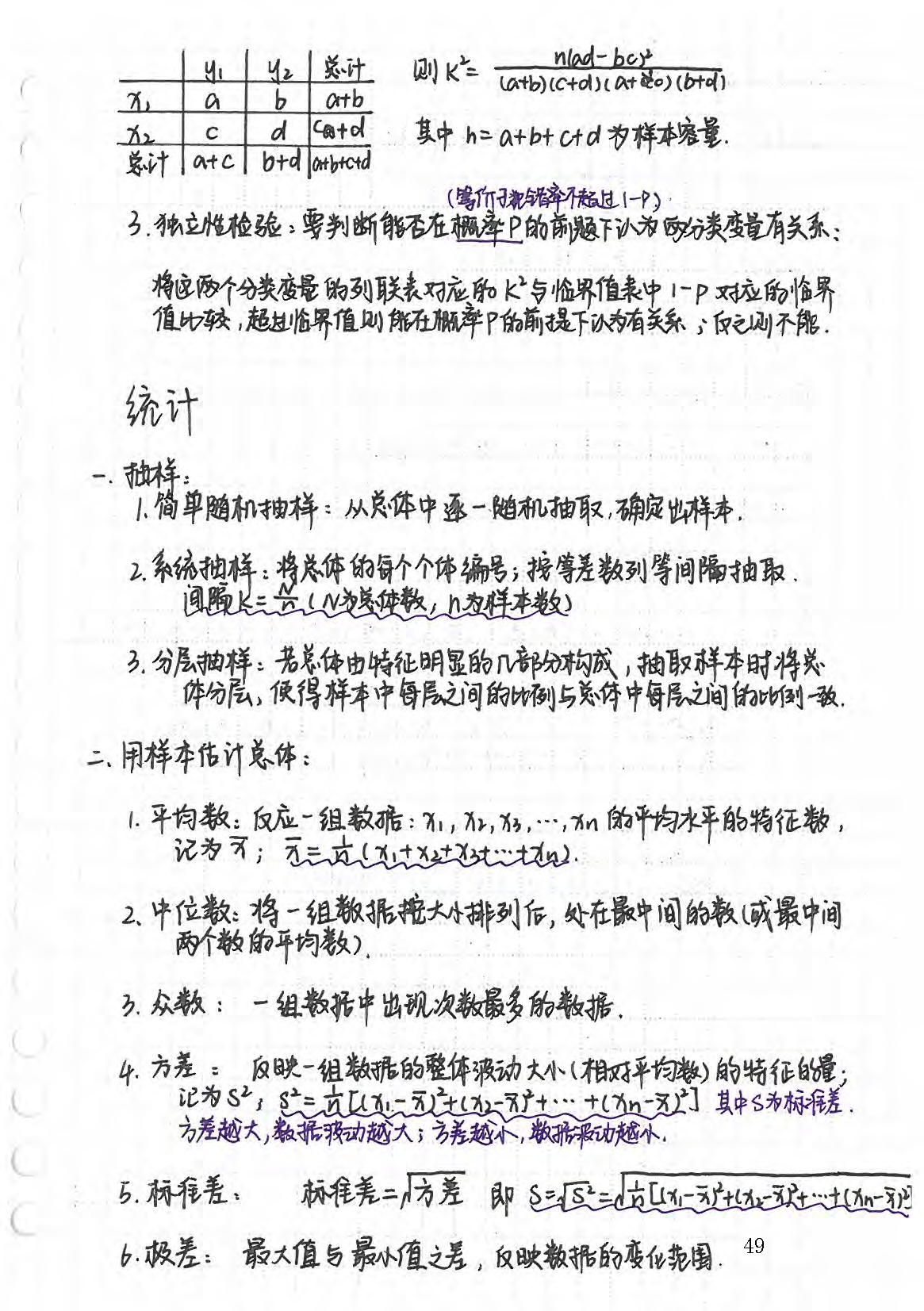
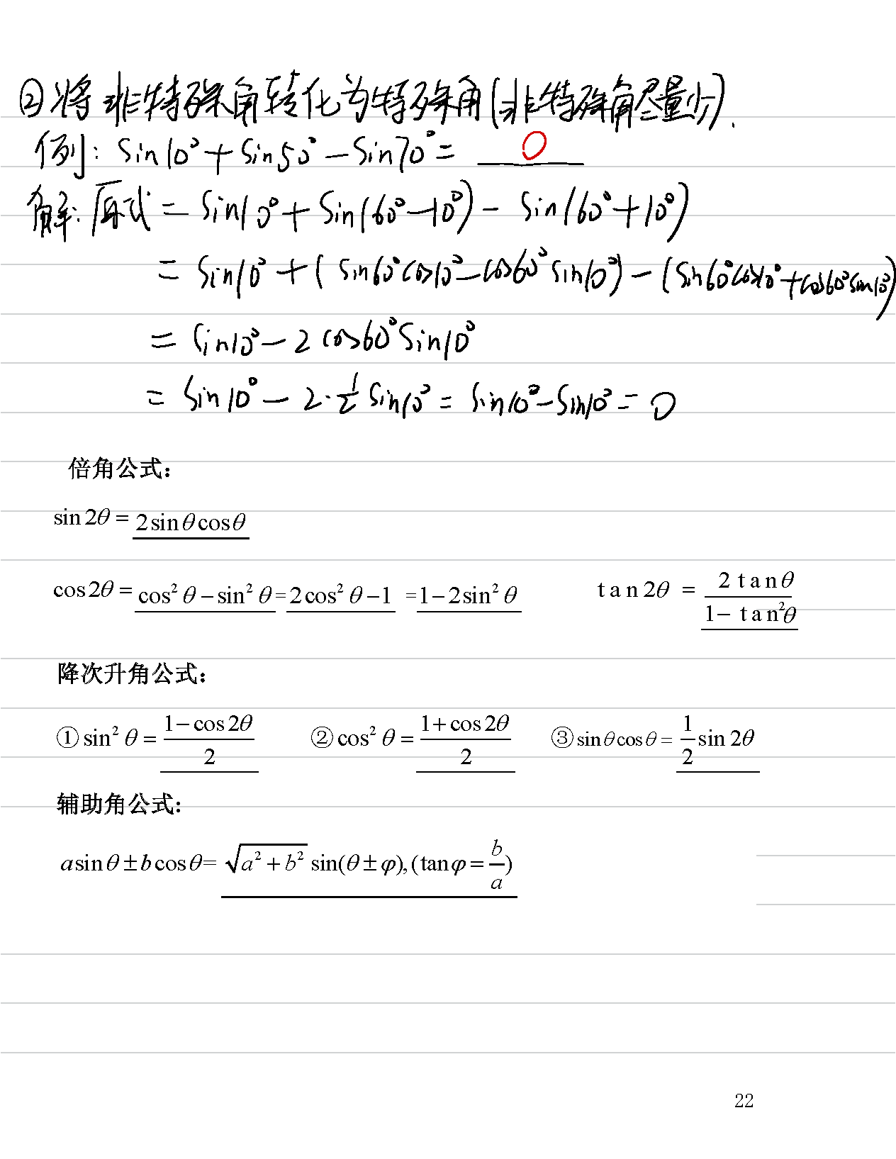
高中数学课堂笔记
2025年4月11日
2025年4月10日
作者
杨兰森
发表评论
取消回复
评论
名称
电子邮箱地址
网站地址
在此浏览器中保存我的显示名称、邮箱地址和网站地址,以便下次评论时使用。